What is superelevation in road design? Learn its formula, calculation, IRC standards, and importance with simple examples for civil engineering students.
what is superelevation?
Superelevation is an essential element of transportation design that facilitate safe and balanced Road travel. It is the difference in elevation from one side of a curve to another.
Curves cause vehicles to experience a centrifugal force that pushes them away from center of the curve. The outside shoulders of the curve have to raise to reduce these types of problems.
Superelevation is the transverse slope of the Road, which is provided especially in curved section.
It allows vehicle negotiating a curve to balance both force like centrifugal and centripetal in unison and helps decrease the possibility of vehicle skidding or rolling over.
Vehicles travelling at high speeds along roadways will have increase levels of superelevation.
To get knowledge about the Reasons of Pothole in Roads, Click below link.
potholes in road: causes, damages and methods of repairing
In addition to making driving easier, superelevation also makes highways, expressways, and mountainous roadways safer and reduces their reliance on tire-to-road friction, thus enhancing the life and durability of the roadway.
Therefore, superelevation is an integral part of the roadway design process, which enables roads to be built safely, equitably, and economically for people travelling on them, especially through bridges and other curves.

Why superelevation is required?
When a vehicle travels on a curved road, it experiences a specific force called centrifugal force. This force tends to push the vehicle outward from the center of the road.
If this force is not balanced, the vehicle is more likely to skid or even leave the road, which can lead to accidents.
That’s why superelevation is used in road construction. Superelevation is a technique where the outer edge of the road is made slightly higher than the inner edge.
This creates a slope on the road, which helps maintain vehicle balance on turns.
When a vehicle approaches a curve, superelevation allows the centrifugal force on the vehicle and the reaction force of the road to balance each other. This makes it easier to maintain control of the vehicle and safely navigate the curve.
Superelevation is especially used on highways, expressways, and hilly roads where vehicle speeds are high. This is not only reduces accidents but also makes driving more comfortable and safe.
Thus, Superelevation is an important road design technique that helps vehicles drive safely on curved roads and makes traffic flow more smoothly.

To get knowledge about the Camber, Click below link.
What is camber : Complete Guide for Beginners
formula to calculate superelevation
e = V² / (225 × R)
Where,
- e = Superelevation.
- V = Vehicle Speed/Design Speed (Km/H).
- R = Radius of the Curve (m)

The above said formula is used for calculating the Superelevation (e)
Examples of calculation
Example-1
If the radius of a road curve is 300 m. The design speed is 60 km/h. Find out Required Superelevation (e)?
Here Given Data:
- R = 300 m
- V = 60 km/h
e = (60 X 60)/ 225 x 300
= 3600 / 67500
= 0.0533 X 100
=5.33%
According to IRC:73 guidelines, the maximum superelevation is 7% in plain areas.
You can read an eBook regarding civil engineering. click below link
Road to Excellence-1: A Comprehensive Guide for Highway Engineers
types of superelevation in highway engineering:
Superelevation varies according to different conditions. Not every road or curve has the same design, so engineers design superelevation according to the conditions.
- Full Superelevation: It is provided when the road curve is sharp and vehicles are travelling in high speed. In such cases the centrifugal force is high. So full superelevation provided to balance it.
- Partial Superelevation: It is basically used in the situations where friction helps to balance the vehicle. This means the entire load is just not on the superelevation but tire – road friction also resist the force and this is the practically most common case.
- Zero Superelevation: It is used in areas with very low speeds, such as city roads or congested areas. Due to the low speed, the centrifugal force remains very low, so there’s no need to provide extra slope.
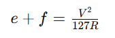
Relation Between Superelevation and Friction:
Superelevation does not work alone, but it acts in conjunction with friction to keep the vehicle safe.

In this Formula,
e = Superelevation and
f = Lateral friction
When the speed is high or the curve is sharp, more superelevation is needed. However, in practice, friction also contributes, so both factors influence the design.
If friction decreases (such as in rain or snow), the importance of superelevation increases.
Methods of Providing Superelevation:
Superelevation is not introduced suddenly, as it can jolt the driver and increase the risk of an accident. Therefore, it is introduced gradually.
As per IRC 38: 1988 clause no 5.4, Three methods are used for providing superelevation.
- Rotation about the center line: In this, the center point of the road remains fixed and both sides rotate. This is the most common and practical method.
- Rotation about inner edge: In this, the inner edge remains fixed and someone raises the outer edge.
- Rotation about outer edge: In this, the outer edge remains fixed and the inner side goes down, but designers use this method less.

Superelevation and Transition Curve:
Designers do not apply it directly to circular curves, but introduce it gradually along a transition curve.
A transition curve is a section where the road gradually changes from straight to curved. In this section, superelevation also increased from zero to maximum.
This design aspect prevents the vehicle from experiencing a sudden change, provides comfort to the driver, and improves steering control. It is very important for highway safety.
Advantages of Superelevation:
- Superelevation plays a vital role in road safety. When a vehicle negotiates a curve, it balances outward forces, reducing the risk of skidding or overturning.
- This offers passengers a comfortable ride as the vehicle stays stable. It also minimizes wear and tear on tires and the road surface.
- Superelevation on highways enables vehicles to safely negotiate curves even at higher speeds, resulting in smoother overall traffic flow.
Disadvantages of Superelevation:
Although superelevation is very useful but there are some limitations:
- It is difficult to implement in urban areas because of limited space and the high number of intersections. Drainage problems can also arise if proper slope design is not implemented.
- In areas with slow-moving traffic, engineers find that providing high superelevation is not practical because vehicles travel at low speeds and imbalances can occur.
Conclusion
Superelevation plays a vital role in ensuring vehicle safety and comfort on curved roads. By properly balancing centrifugal force, it reduces the dependence on friction and minimizes the risk of skidding.
Understanding the correct formulas and their applications is essential for accurate road design, whether with or without friction. Ultimately, a well-designed superelevation not only enhances driving stability but also contributes to overall road safety and efficiency.

Pingback: potholes in road: causes, dsmages and methods of repairing
Pingback: What is Camber: Complete guide for Beginners
Pingback: what is Retaining Wall and Its Type: Complete Guide
Pingback: Toe Wall in Civil engineering : A complete guide
Pingback: TCS: How to Study Typical Cross Section - civilguruhub.com
Pingback: What is Gradient in Civil Engineering- civilguruhub.com
Pingback: FDD test: what is it? complete gprocess and calculation.